Check alle échte Black Friday-deals Ook zo moe van nepaanbiedingen? Wij laten alleen échte deals zien
  1. Laagste prijs
    € 136,92 bij Amazon.nl Marketplace
    Wacht je op een prijsdaling?
  2. Kenmerken | Gebruikersreviews
  3. Willen (20) Hebben (8)

Bekijk alle reviews

Lexar NS100 2TB Review

26 juni 2024, laatste update op 26 juni 2024, 965 views Rapporteer
Product gekocht +2

Prima SSD wanneer NVME geen optie is.

Pluspunten

  • relative prijs
  • SATA, vast plaats voor in PC

Minpunten

  • snelheid ten opzichte van NVME

Eindoordeel

4 van 5 sterren (Goed)

Inleiding

Ik was op zoek naar extra opslag voor mijn oudere AMD B450 platform nadat ik het enige bruikbare M2 slot al in gebruik had genomen. Er zijn dan een aantal opties over. Een PCIe insteek kaart voor een extra M2 slot, een schijf via USB (c) of een SATA SSD. Ik had ook geen PCIe slots meer over, en het aantal USB 3.2 gen2x1 aansluitingen was enigzins beperkt. De keuze werd uiteindelijk dus een SATA SSD.

Als je op het moment van deze review door de prijzen scrollt van 2TB SATA SSDs, kom je vrij snel de Lexar NS100 als je sorteert op prijs. Deze heb ik uiteindelijk dus ook besteld via Megekko, en zal deze in deze review bespreken. Ik zal de schijf echter ook vergelijken met een andere SATA schijf (Crucial MX500), twee NVME Lexar schijven (NM620 en NM790) en met de USB optie (Kingston A2000 via een nvme naar USB3.2 gen2x1 van uGreen).

De schijf

De schijf wordt geleverd in een klein doosje zoals de meeste Lexar SSDs in worden geleverd. en bevat geen verdere accesoires zoals een plastic bracket om hem de standaard 2.5 inch hoogte maken (iets om rekening mee te houden als je deze in een oude laptop wilt gebruiken).

https://tweakers.net/i/uV2xMWrrzQ6TYLAgNLBsnPBBsQk=/620x/filters:strip_icc():strip_exif()/m/462400/1SmxlFwagxl9nO2RO0Z1nm0PqjGFBetlX3jntqvIeiUtHMg8aG.jpeg?f=620xauto
https://tweakers.net/i/-H97A3lC2TBb4-b-PtB1YARF3eM=/620x/filters:strip_icc():strip_exif()/m/462400/1SmxlFO5x232PipO6y5weuS5iQfIqVUo8IxSamkeNU3IEaXKZt.jpeg?f=620xauto
https://tweakers.net/i/S-uUAZWD2PPHwkGYE61_XZhkQnk=/620x/filters:strip_icc():strip_exif()/m/462400/1SmxlGreSaPZrUM7sMIVBAfQZBocx9JanrIzmEqtypCH13BzbQ.jpeg?f=620xauto
https://tweakers.net/i/o0iO_RkCbdTv_bxvxcmHCVu33-c=/620x/filters:strip_icc():strip_exif()/m/462400/1SmxlGpgNKGGMtifllEV3LVKrjVvK8iH6xihmhJftWPpUAY2GC.jpeg?f=620xauto

Lexar doet helaas geen uitspraken over de controller of het type geheugen dat gebruikt wordt in deze schijf. Alleen de maximale lees/schrijf snelheid wordt opgegeven. Dit geeft Lexar de flexibiliteit om onderdelen te vervangen zonder er een nieuw product van te maken, de benchmarks zoals ik deze geef, zouden in de toekomst af kunnen wijken van de resultaten zoals jij deze ziet. Nu lijkt het er op dat de SDD een Marvel controller gebruikt en TLC geheugen, maar ik zal dit na een paar maanden valideren (de meeste apparaten falen in de eerste drie maanden, en het open maken van de schijf doet mijn garantie teniet).

Benchmarks

Laten we beginnen met de AS-SSD en CrystalDiskMark resultaten.

https://tweakers.net/i/El_AZxU1j9Yq3UUL8sL4Fd3ZUl0=/m/462400/1SmxlGDB9FV39HrPtYFzQARCae7rROMoD4imwQ2Vzc3ZKGAfI5.png
https://tweakers.net/i/3GiUUb9TMY3HsNuYKj0z66wlxfs=/m/462400/1SmxlGwgYk0g5WHgK6599iz8SoiInzlkLO6SlgCTmSlqMYj0eZ.png

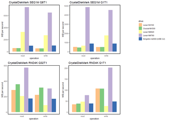
Resultaten zijn ongeveer in lijn met wat je verwacht van een SATA SSD. In de volgende grafiek heb ik de snelheden met een aantal andere SSDs. Dit zijn de volgende:
  • De NM790. Deze schijf is op moment van schrijven 30% duurder dan de NS100. Gegeven dat je wel nog een PCIe 4.0 x4 NVME slot over hebt, wat krijg je dan voor die extra 30 euro?
  • De NM620. Deze schijf is op moment van schrijven goedkoper dan de NS100, mocht je dus een PCIe 3.0 x4 slot hebben, wat krijg je dan aan extra snelheid voor minder geld?
  • De Crucial MX500. Dit is een duurdere, maar op aardig oude SATA schijf. Deze heeft echter wel DRAM cache.
  • De Kingston A2000 in een NVME naar USB 3.2 gen 2x1 behuizing. Deze schijf heb uit een oude machine gehaald, en in een behuizing van uGreen gestopt. De USB 3.2 gen 2x1 aansluiting heeft meer bandbreedte dan een SATA aansluiting, en spellen en data werken in principe prima op een externe schijf.
AS SSD met een size van 10GB

https://tweakers.net/i/XuG2hSpC3g6qcR4oGRLmQuPkTJQ=/620x/filters:strip_exif()/m/462400/1SmxlGkzu07DQFQAZrog7m7HsDs33uPc7RDv5lDigRlQmY4bqo.png?f=620xauto

CrystalDiskMark met een size van 1GB

https://tweakers.net/i/KvDUdfhEinr-9JHmUoXyBJMVvOU=/620x/filters:strip_exif()/m/462400/1SmxlG5SXKCiYzZdEtu9aJlduq2iIhakswEFhR0vsiOwq68jWp.png?f=620xauto

Zoals je kan zien, zijn de NVME SSDs een heel stuk sneller, dat kan tot 10x zo snel op lopen in het geval van de NM790, maar ook de NM620 is nog een stuk sneller. Ook de SSD over USB is nog steeds significant sneller.

Conclusie

De NS100 op zichzelf lijkt een prima schijf te zijn voor wat hij op dit moment in de markt is. Een budget schijf op een interface die niet meer de focus heeft. Een NVME SSD is in de meeste gevallen een betere optie, maar die optie zul je niet altijd hebben. Voor zover is het dus een prima koop, al zal ik deze review later updaten om te laten weten of de schijf na een aantal maanden nog steeds oke functioneert.

Alle afbeeldingen

Beoordeel deze review: 0 +1 +2 +3

Heb jij ook een Lexar NS100 2TB?

Deel je ervaringen en help andere tweakers!

Schrijf review

Reacties

Sorteer op:

Weergave:

Er zijn nog geen reacties geplaatst


Om te kunnen reageren moet je ingelogd zijn